DSO Report (Days Sales Outstanding) (PCC)
See how many days it takes to collect payment for services.
- About this report
- How we calculate the DSO (Days Sales Outstanding)
- How to read the DSO numbers
- How to check the accuracy of the DSO report
- FAQs
1. About this report
- The DSO (Days Sales Outstanding) Report tells you the average number of days it take you to collect payment for services. It is also known as the "average collection period report".
- This report is available for companies with PointClickCare DataRelay.
- It is updated every 4 hours.
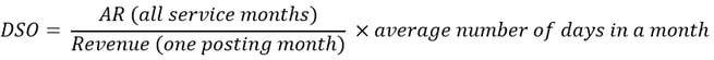
2. How we calculate the DSO (Days Sales Outstanding)
- To calculate the DSO, we divide the AR (accounts receivable) as of the last day of the month by the Revenue for that month, and then multiply the result by the number of days in a month.

- Where
- AR (Accounts Receivable): for all Service Months, as of Posting Date for the month selected in the report
- Revenue: for the one Posting Month selected, for all Service Dates
- average number of days in a month: is 365 / 12 = 30.4 days
- Example:
- As of 6/30/24 your total AR was $1,000,000.
- During the period 6/1/24 to 6/30/24 your revenue was $800,000.
- The average number of days in a month is 365 / 12 = 30.4 days
- Therefore, your DSO = ( 1,000,000 / 800,000 ) x ( 365 / 12 ) = 38 days DSO
3. How to read the DSO numbers
- A high DSO number (e.g. 180 days) suggests that a company is experiencing delays in receiving payments, which can result in a cash flow problem.
- Or it can mean that very little revenue was posted in that month, thereby artificially inflating the DSO number.
- A low DSO (e.g.7 days) indicates that the company is getting its payments quickly. That money can be put back into the business to good effect.
- Or it can mean that a lot of revenue was posted in that month, thereby artificially decreasing the DSO number.
- A negative DSO (e.g. -10 days) indicates a credit posting. Meaning, instead of posting revenue that month, you posted a credit. The negatives can be ignored, because the DSO average is weighted (by the number of dollars they represent).
- Different Payer Types have different DSO averages, depending on how quickly they pay based on their contract with you (or government regulations). Therefore,
- It's best to compare the DSO within a particular Payer Type across different months, or across different locations (since you're comparing apples with apples).
- It's less helpful to compare DSO across different Payer Types, since that may due to factors you cannot control.
- Applications of DSO report:
- Days sales outstanding suggests how efficient the company's collections department is, and the the length of time payers are taking to pay you.
- Looking at a DSO value for a company for a single period can provide a good benchmark for quickly assessing a company’s cash flow. However, trends in DSO over time are much more useful. They can act as an early warning sign of trouble.
- If you don't write off AR, then you will have a large DSO. Even though your collections team is doing a good job.
4. How to check the accuracy of the DSO report
To confirm that the DSO report is accurate, compare it with PointClickCare.com reports.
In short: you'll pull the Revenue (one month) and AR (all months) from PCC, and then divide them to get the DSO. Here's how:
-
Pick a closed month and facility in the DSO report
- In the example below, we pick July 2025 (a closed month) for Nursing and Rehabilitation facility. Its DSO is 45 days.

- In the example below, we pick July 2025 (a closed month) for Nursing and Rehabilitation facility. Its DSO is 45 days.
-
Get the Revenue from PCC (for one posting month)
- PCC > open the same Facility (not the Management Console)
- Go to Reports > A/R Reconciliation
- Monthly: select the same month you picked above in step 4.1

- Monthly: select the same month you picked above in step 4.1
- Click Run Report
- Open the report tab
- Scroll to the last row of the report
- Calculate: Current Period minus Past Period.
- This amount is the Revenue for the month for the Facility. In our example it is $1,781,305.73 - $111,318.56 = $1,669,987.17

-
Get the AR from PCC (all service months)
- PCC > open the same Facility (not the Management Console)
- Go to Reports > AR Aging NEW, and choose these parameters
- My saved settings: Default
- Report output option: PDF
- Facilities to be included in this report: select the one facility you're checking
- As of: set it to the same month as in step 1 (July 2025 in this example)
- Include: Resident details: uncheck this box (so it's faster to run the report)


- Click Run Now
- Open the PDF file:
- Scroll down to the Total row, in the column labelled "Total +07/25"
- This amount is the AR for all service months, as of July 2025 for the Facility. In our example, it is $2,451,333.05

-
Calculate the DSO
- For formula is = ( AR (all service months) / Revenue (one posting month) ) X average number of days in a month
- In our example it is = $2,451,333.05 / $1,669,987.17 X ( 365/12 ) = 45 days
5. FAQs
1. How is the Referral Source determined in the Referral Source filter?
- The report associates all transactions with the first AA (Actual Admit) (not the RA (Readmission)) for that patient.
- Transactions for DOS after subsequent AA's will be associated those later AA's.
- In order for the reporting to be accurate, we make the following assumptions:
- The Facility must correctly identify AA's vs. RA's. In other words, when the responsible referral source changes, a new AA must be entered by the Facility.
- If the Facility incorrectly identifies an AA vs. RA, they can fix it in PCC, and the correction will “flow” to the ARP > Percent Collected.
- Limitations of reporting by Referral Source:
- If there are two or more AA's in a single month, there were will likely be credits on the 2nd AA for that month.
- If the Facility incorrectly defines who the referral source is, then the numbers will be inaccurate.
(This article was updated 11/5/2025)